庐山市人民政府办公室 关于印发《关于规范农村宅基地审批和农村住房建设暂行管理办法》的通知
庐府办发〔2023〕25号
庐山市人民政府办公室
关于印发《关于规范农村宅基地审批和农村住房建设暂行管理办法》的通知
各乡(镇)人民政府,沙湖山管理处,市政府各部门,市(局)直各单位,驻市(山)各单位:
《关于规范农村宅基地审批和农村住房建设暂行管理办法》经市政府研究同意,现印发给你们,请遵照执行。
2023年8月24日
关于规范农村宅基地审批和农村住房建设
暂行管理办法
为深入贯彻党和国家机构改革精神,落实新修订的《中华人民共和国土地管理法》有关要求,深化“放管服”改革,进一步加强部门协作配合,落实属地管理责任,按照《农业农村部 自然资源部关于规范农村宅基地审批管理的通知》(农经发〔2019〕6号)、《江西省农业农村厅 江西省自然资源厅关于规范农村宅基地审批管理的通知》(赣农字〔2020〕25号)、《九江市人民政府办公室关于印发九江市农村住房建设管理办法的通知》(九府办发〔2022〕5号)文件精神及要求,结合我市实际,为规范我市农村宅基地用地建房申请审批管理,制定本实施办法。
一、切实履行部门职责
农村宅基地用地建房审批管理事关广大农民居住权益,涉及农业农村、自然资源、住房和城乡建设等部门。市有关部门和各乡(镇)人民政府要增强责任意识和服务意识,部门按照职能,在市委、市政府的统一领导下,切实履行各自职责,建立部门协调机制,实现信息共享互通,推进管理重心下沉,共同做好农村宅基地审批和建房规划许可管理工作。
市农业农村局负责农村宅基地制度改革和规范管理工作,建立健全宅基地分配、使用、流转、违法用地查处等管理制度,完善农村宅基地用地标准,指导宅基地合理布局、闲置宅基地和闲置农房利用;组织开展农村宅基地现状和用地需求情况统计调查,及时将农民建房新增建设用地需求报市自然资源局;参与编制国土空间规划和村庄规划。
市自然资源局负责国土空间规划、土地利用计划和规划许可等指导工作,在国土空间规划中统筹安排宅基地用地规模和布局,明确自然村落宅基地统一的坐落和朝向,科学划定坐北朝南向或坐西北朝东南向。满足合理的宅基地需求,依法办理农用地转用审批和规划许可等相关手续。依法办理宅基地及其地上房屋的不动产确权登记。
市住房和城乡建设局负责村民建房的技术指导服务,负责制定新型农房建设图集并牵头推广到位;负责牵头国家和省政府明确的重点对象危房改造工作;负责乡村建设工匠培训,探索建立符合农村实际的乡村建设工匠培养管理制度。
市城管局负责对城市规划区内未取得规划许可证或者未按照规划许可要求进行建设的行为,协调督促所属乡镇或相关部门依法处置,尚可采取正当措施消除对规划实施影响的,限期改正,依法处以罚款;无法采取改正措施消除影响的,限期自行拆除,不能拆除的,没收违法建筑,可依法并处罚款;乡镇或部门做出责令停止建设或者限期拆除的决定后,不停止建设或逾期不拆除的,依法强制拆除。
市(局)综合执法处负责在庐山风景名胜区牯岭区域范围内,对未取得规划许可证或者未按照规划许可要求进行建设的,会同属地乡镇依法进行处置。
市林业局负责所涉及的农村农民住房建设占用林地的监督管理工作。
市水利局负责所涉及的农村农民住房建设有关水域保护、圩堤安全保护范围监督管理工作。
市交通运输局负责国省道、县乡道道路安全退让范围监督管理工作。
市公安、财政、生态环境、乡村振兴、卫健、电力、通信等部门和单位,应按照各自职责,配合做好农村村民住房建设监督管理工作。
各乡(镇)人民政府是农村宅基地审批和住房建设管理的责任主体,要切实履行属地管理责任。一是在市农业农村局指导下扎实推进农村宅基地制度改革和规范管理工作,规范农村宅基地审批,落实宅基地分配、使用、流转、违法用地查处等管理制度,落实宅基地合理布局、闲置宅基地和闲置农房利用;二是在市自然资源局指导下落实国土空间规划、土地利用计划和规划许可等工作,执行农村宅基地坐落和朝向的监管;三是在市住房和城乡建设局的指导下落实村民建房的技术指导服务,落实农户在建房过程中使用新型农房建设图集并推广到位;四是积极承接按照法定程序和要求赋予的宅基地和农房建设执法权,组织实施执法工作。要加强对农村宅基地申请、审批、使用的全程监管,全面落实农村宅基地“四到场”要求;五是在村(居)民委员会成员中明确1人兼任村级宅基地协管员,是违反规划、面积、层高、风貌、图集、坐落和朝向等违法违规建房行为信息收集的第一责任人,要积极向属地乡镇上报违法违规建房情况,发现瞒报、漏报等行为严肃追究责任人责任。
村民委员会应协助乡(镇)人民政府做好农村宅基地和村民住房建设的审查、批准和监管等工作,通过制定村规民约、开展村民评议等方式对农村宅基地和村民住房建设行为进行规范。及时发现、报告、制止、协助处理违法违规建房行为,并向乡(镇)人民政府或有关部门报告。
二、规范农村宅基地申请
(一)农村宅基地申请条件
具有农村宅基地资格权的农村村民,符合下列条件之一的,可以向户口所在地集体经济组织申请使用宅基地。
1.家庭成员有两个及两个以上子女,因结婚或独立生活需要且在本村无其他房屋,可申请宅基地建房,但父母必须跟随其中一个子女共享同一宗宅基地;
2.因自然灾害或者实施村镇规划需要搬迁的;
3.经批准回原籍落户,没有住宅需要新建住宅的;
4.原有宅基地被依法征收,或者因公共设施和公益事业建设被占用的可以申请使用宅基地;但原有住宅拆迁时已按规定进行补偿安置的除外;
5.市级以上人民政府规定的其他条件。
有下列情形之一的,申请宅基地不予批准:
1.申请人年龄未满18周岁的;
2.宅基地选址不符合村庄规划的;
3.占用永久基本农田的;
4.申请另址新建住房,未签订退出原有宅基地协议的;
5.申请位置在已查明的地质灾害隐患点、可能造成切坡建房的;
6.将原有住房出租、出卖、赠与、以其他形式转让或者改作生产经营用途的,且不符合另行申请条件;
7.原有宅基地面积已达到两户或两户以上宅基地面积标准,要求分户的;
8.其他不符合法律、法规政策规定的情形。
有下列情形之一的,农村居民不得改建、扩建原住宅:
1.已安排新宅基地的;
2.原住宅已被列入征地范围的;
3.原住宅不符合国土空间规划的;
4.原住宅属文物保护单位或者历史文化名镇(村)保护规划确定保留的风貌建筑,市政府确定公布的历史建筑等;
5.法律、法规规定的其他情形。
(二)农村宅基地用地面积标准
宅基地是农村村民用于建造住宅及其附属设施的集体建设用地,包括住房、附属用房和庭院等用地,农村村民一户只能拥有一处宅基地。农村村民新建住宅,其宅基地的面积标准为:
1.占用原有宅基地和村内空闲地以及利用新规划的宅基地建房,每户宅基地面积不得超过180平方米。
2.涉及占用耕地的,宅基地面积不得超过120平方米。
农村村民应当严格按照批准面积建设住宅,禁止未批先建、超面积占用宅基地。超过规定的标准,多占的宅基地以非法占用土地论处。
(三)农村宅基地申请程序
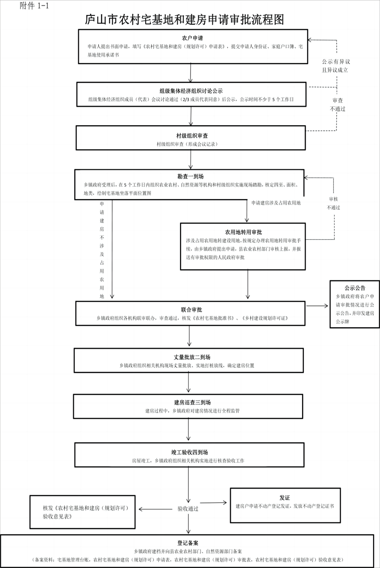
1.农户申请。农村村民需要宅基地用地建房的,应当填写《农村宅基地和建房(规划许可)申请表》,签署《农村宅基地使用承诺书》,提交申请材料,以户为单位(原则上以户主为申请人)向所在组级集体经济组织提出宅基地和建房(规划许可)书面申请,没有成立组级集体经济组织的由村民小组代为受理(下同)。
2.组级公示。组级集体经济组织收到申请后,提交集体经济组织成员(代表)会议讨论,并将申请理由、宅基地分配方案(拟用地位置和面积)和建房(规划许可)方案(拟建房层高和面积)等情况在本集体范围内公示。公示时间5个工作日,公示有异议的,由理事会进行调查,经调查异议成立的,撤销或修改宅基地分配方案和建房(规划许可)方案再予以公示;异议不成立的,按程序上报审查。
3.村级审查。公示无异议或异议不成立的,理事会将农户申请、组级集体经济组织成员(代表)会议记录、会议照片等材料交村级组织审查。村级组织应当在收到材料后5个工作日内开会研究,出具审查结果。重点审查提交的材料是否真实有效、拟用地建房是否符合村庄规划(暂时没有编制村庄规划的,审查是否符合乡镇国土空间规划中明确的村国土空间用途管制规则和建设管控要求)、是否征求了拟用地建房相邻权利人意见等。
4.乡镇审批。审查通过的,由村级组织在《农村宅基地和建房(规划许可)申请表》签署意见,连同申请人提交的其他相关材料一并报送乡(镇)人民政府。
没有分设组级集体经济组织(村民小组)的,宅基地和建房申请等事项统一由村级组织办理,农户直接向村级组织提出申请,经村民代表会议讨论通过并在本集体经济组织范围内公示不少于7个工作日后,由村级组织签署意见,并将相关材料报送乡(镇)人民政府。
5.市级备案。乡镇要及时将《农村宅基地和建房(规划许可) 申请表》 (复印件)、乡镇人民政府核发的《乡村建设规划许可证》(复印件)和《农村宅基地批准书》 (存根联) 报市级农业农村部门、自然资源部门备案。市级农业农村部门、自然资源部门要建立工作台账,进行规范管理
(四)农村宅基地申报材料
村级组织应当向乡(镇)人民政府报送以下申报材料:
1.《农村宅基地和建房(规划许可)申请表》;
2.《农村宅基地使用承诺书》;
3.农户用地建房征求相邻权利人意见书;
4.申请人身份证、户口簿复印件;
5.组级集体经济组织成员(代表)会议记录复印件、会议照片,公示照片,原有宅基地或空闲地照片;
6.村(居)民委员会农村宅基地和建房(规划许可)审查意见、会议照片、村级公示照片和会议记录复印件。
三、依法规范农村宅基地审批和建房规划许可管理
农村村民宅基地审批和建房规划许可,由各乡(镇)人民政府审核批准;其中,涉及占用农用地的,依照《中华人民共和国土地管理法》规定办理农用地转用审批手续。乡(镇)政府要切实履行属地责任,优化审批流程,提高审批效率,积极推行信息化管理和掌上审批,加强事中事后监管,组织做好农村宅基地审批和建房规划许可有关工作,为农民提供便捷高效的服务。
(一)完善审核批准机制
各乡(镇)人民政府要建立“一个窗口对外受理、多部门内部联动运行”的农村宅基地用地建房联审联办制度,公布办理流程和申请要件,印制办事指南,方便农民群众办事。乡(镇)人民政府要设立宅基地审批和住房建设管理的受理窗口,窗口受理后,由乡(镇)农业农村机构具体负责审查申请人是否符合申请条件、拟用地是否符合宅基地合理布局要求和面积标准、宅基地和建房(规划许可)申请及外观风貌等是否经过村组审核公示等内容,并及时将申请材料和《农村宅基地和建房(规划许可)审批表》(附件6)送乡(镇)自然资源机构进行审查和签署意见;在乡镇、村规划区内使用原有宅基地进行农村村民住宅建设的,按有关要求办理规划许可。涉及交通、公安、林业、水利、电力等机构的,乡(镇)农业农村机构要及时征求有关机构意见,有关机构原则上应在10个工作日内签署意见。乡(镇)自然资源机构负责审查用地建房是否符合国土空间规划、用途管制要求,新建住宅申请宅基地应在规划确定的村庄或聚居点范围内选址,涉及需要办理农用地转用审批手续的,分户对宅基地范围按国家1:2000的比例制作勘测定界图,分批次编制勘测定界报告书,按程序上报审批农用地转用手续后核发《乡村建设规划许可证》(附件8);乡(镇)农业农村机构综合有关方面意见,提出审批建议,报乡(镇)人民政府审批。乡(镇)人民政府根据本级各机构联审结果,对农民宅基地申请进行审批,符合要求的,核发《农村宅基地批准书》(附件9),原则上一并发放《乡村建设规划许可证》,并将审批结果在申请人所在集体经济组织范围内进行公布。从乡(镇)人民政府同意受理用地建房申请到出具审核意见,原则上不超过20个工作日;需要办理农用地转用审批手续的,乡(镇)自然资源机构按有关规定确定办理时限。各乡(镇)要建立宅基地用地建房审批管理台账,有关资料归档留存,每季度末将审批情况报市农业农村、自然资源、住建等部门备案。
(二)严格用地建房全过程管理
全面落实“四到场”要求。收到宅基地和建房(规划许可)申请后,乡(镇)农业农村机构要及时组织自然资源等机构和村级组织实地审查申请农户是否符合条件、拟用地是否符合规划和地类等;经批准用地建房的农户在开工前,向乡(镇)政府或授权的牵头机构申请划定宅基地用地范围,乡(镇)政府在收到申请5个工作日内组织农业农村、自然资源、住房建设等机构和村级组织到现场进行开工查验和实地丈量批放宅基地;农房建设过程中,乡(镇)政府要组织本级农业农村、自然资源、住房建设等机构联合村级组织进行过程监督检查,重点检查是否按照批准面积、四至等要求使用宅基地,是否按照批准面积、规划要求、施工要求和建筑户型、风貌建设住房,发现问题及时制止,责成整改;农户建房完工后,要及时向乡(镇)政府申请进行验收,乡(镇)政府在收到申请10个工作日内组织相关机构对照审批内容进行验收,并出具《农村宅基地和建房(规划许可及竣工)验收意见表》(附件10),经批准用地建房的农户,自申请批准之日起,必须在2年内建成并入住,否则重新报批。建新必须拆旧,并无偿退出原宅基地交还给集体,能复耕的必须复耕。新建房屋验收后,可依法依规向不动产登记部门申请办理不动产登记。
(三)严格执行总体规划,科学选址
1.依法科学选址。农房建设选址应当符合村庄规划,科学选址。充分利用规划区内原有宅基地、空闲地和其他未利用地,禁止占用基本农田、饮用水源保护区、天然林地、公益林地,避免占用耕地。引导村民在规划区和聚居点建房。合理避让地质灾害隐患区、山洪灾害危险区和行洪泄洪通道。在历史文化名镇(村)和传统村落内的农房建设,应符合历史文化名镇(村)保护规划和传统村落保护与发展规划的相关规定。
2.安全评估。各乡(镇)编制村庄建设规划和村民聚居点规划,依据乡(镇)、村庄规划和地质灾害普查分布图等,对新建农房的宅基地及相邻区域的地质、地理环境进行安全评价。确需进行安全评估的,由市住建部门牵头,组织市农业农村、水利、林业、应急等部门进行安全性评估。
3.控制距离。农房建设应当与公路建设相协调,并与公路保持规定的距离。禁止在公路两侧建筑控制区内进行农房建设以及堆放砂石、砖瓦等建筑材料。在河道、水库、渠道等水利工程设施、加油站、储气站、高压、光缆、管线等周边选址建设农房的应符合对应的关于控制范围的相关规定。
(四)严格控制建房建筑规模
农村住房建设原则上不超过3层,总高度不超过11米(不含地下室和半地下室、坡顶按檐口高度计),每户建筑面积不得超过350平方米;确需建设3层以上住房的应按照《中华人民共和国建筑法》等有关规定报建。为方便农业生产生活,在法定宅基地内结合住房建设经营服务设施的,经村、乡(镇)同意后可增加一定的建筑面积,但必须严格按程序报批,不得未批先建。建筑层数、面积计算方法参照《建筑工程建筑面积计算规范》和《建筑设计防火规范》等规定。
(五)推进存量农房改造和新建农房风貌塑造
住房和城乡建设部门根据村庄规划和村庄建筑风格风貌规划编制成果,提出风貌管控条件,指导乡镇按经审批的建设图集审核审批农村村民建房的建设风貌和风格,确保与当地民族特色、乡土风貌、地域特点等协调一致。结合当地抗震设防要求对农村房屋设计、质量安全开展指导工作。按照农村民居室内功能提升技术指南,引导完善卧、厨、卫、厅等居住功能,方便水、电、气、信使用,提升保暖、隔音、防火等性能,规范太阳能安装,使农村住宅逐步具备现代化生活条件。对于存量农房,目前结构完整、质量合格、合规合法的农房或年代较新、风格不协调的,达不到本村建筑风格要求,可继续利用农村人居环境整治、新农村建设等统筹进行房屋立面、屋顶等局部改造完善,形成相对统一的村庄建筑风貌。对严重危及安全,无纪念价值的要清拆整治。对年代久远、局部破损、有地方特色和使用价值的泥砖房、青砖房可视情加固修缮、活化利用。鼓励有条件的乡镇整村推进农房外立面改造,但不得过度装饰和大拆大建。
(六)农房建设工程施工许可
村民新建、改建、扩建建筑物满足“3层以上、建筑面积350平方米及以上、6米高跨度及以上”任一条件的,应当委托有资质的建筑施工企业、劳务分包企业承担施工。建房户必须主动向乡镇人民政府申报,纳入建设工程基本监督程序,办理《农房建设工程施工许可证》。建房开工前,必须办理《农民建房保险》。
(七)加强动态巡查管理
结合现代宜居农房建设示范行动加强农村村民建房管理工作。各乡(镇)人民政府是本行政区域内农村宅基地建房审批管理主体单位,应依法组织开展农村用地建房动态巡查,加强日常监管,及时发现问题,及时处置。市农业农村部门要切实落实监督管理职能,依法负责宅基地监督管理工作;积极会同市自然资源、住房和城乡建设、交通运输、市场监管、生态环境、水利、林业等部门成立农村建房管理执法联合机构,建立动态巡查机制,依法组织开展农村用地建房动态巡查,充分利用宅基地监管移动APP,切实做到对涉及宅基地使用、建房规划、建设施工等违法违规行为早发现、早制止、早报告、早查处。重点依托村级宅基地协管员负责开展日常监管,及时收集掌握农村宅基地使用、农房建设施工等状况,对违法违规行为做到早发现、早报告、早处置。
四、加大工作保障力度
(一)强化规划引领。结合国土空间规划调整,市自然资源部门指导各乡(镇)从农村实际出发,尊重村(居)民意愿,体现地方和农村特色,结合地质灾害防治规划和地质灾害危险性调查评估情况,因地制宜编制或修编村庄规划,预留一定的建设用地规模解决历史遗留宅基地问题,保障村(居)民新增分户建房的合理需求,合理布局农村生产、生活和生态用地,鼓励农民集中建房,切实避开危险区域,形成相对集中、集约高效、安全可靠的村庄用地建设布局。
(二)强化用地保障。市自然资源部门要加强对农民建房办理建设用地审批手续的指导,新增建设用地审批所需计划指标在年度土地利用计划中统筹安排,应保尽保。各乡(镇)人民政府负责安排农民建房用地计划,督促各村级组织按规定办理建设用地手续。乡(镇)负责指导村居集体经济组织进行用地选址并出具用地规划选址意见,指导村级组织用地报批材料。村(居)民委员会作为农民建房用地的管理单位,具体负责组织村(居)民建房新增建设用地报批材料。
(三)强化公示公开力度。充分发挥基层自治,运用村集体经济组织成员代表大会、村务公示等方式实施规范管理,推行农村住宅建设“六公开”制度(村庄规划公开、审批程序公开、申请条件公开、建房名单公开、审批结果公开、投诉举报方式公开)。农村建房现场必须自觉接受政府和村(居)民监督。
(四)组织实施保障。按照部省指导、市主导、乡镇主责、村级主体的要求,市农业农村、自然资源、住房和城乡建设等部门要主动入位,建立完善相关制度,加强对宅基地审批和建房规划许可相关工作的指导。城市管理、民政、公安、水利、林业、文旅、应急等相关部门依职责协同配合做好农村住宅建设的组织实施保障工作。乡(镇)政府要加强组织领导,强化责任落实,完善工作流程,切实承担起宅基地审批和管理职责,村(居)民委员会要健全宅基地申请审核相关制度,确保宅基地分配使用公开、公平、公正。各乡(镇)人民政府负责组织开展农民住房需求调查摸底工作,可根据本实施办法制定本辖区具体操作细则,统筹协调辖区农村住宅建设管理工作,提供资金、人员等方面的支持,保障农村住宅建设规范化管理。
(五)纳入目标考核。将农村宅基地审批和住房建设管理工作纳入全市高质量发展考评。对审批不及时、巡查监管不到位、违规建设现象突出的乡(镇)和部门进行通报。对工作不力,玩忽职守的,严肃追责;对滥用职权,徇私舞弊,违法违规审批的,依法依规严肃追究当事人责任。
五、附则
(一)本办法自发布之日起实施,之前规定与本《办法》不一致的,按本《办法》执行。
(二)本实施办法由市农业农村局牵头负责解释。
附件:1.庐山市农村宅基地审批办事指南
1-1.庐山市农村宅基地和建房申请审批流程图
2.农村宅基地和建房(规划许可)申请表
3.农户用地建房征求相邻权利人意见书
4.农村宅基地使用承诺书
5.庐山市农村宅基地和建房公示表(村民小组)
6.农村宅基地和建房(规划许可)审批表
7.庐山市农村宅基地和建房公示牌(乡镇)
8.乡村建设规划许可证
9.农村宅基地批准书
10.农村宅基地和建房(规划许可及竣工)验收意见表
附件1
庐山市农村宅基地审批办事指南
一、受理条件
具有农村宅基地资格权的农村村民,符合下列条件之一的,可以向户口所在地集体经济组织申请使用宅基地。
1.家庭成员有两个及两个以上子女,因结婚需要且在本村无其他房屋,可申请宅基地建房,但父母必须跟随其中一个子女享有同一宗宅基地;
2.因自然灾害或者实施村镇规划需要搬迁的;
3.原有宅基地被依法征收,或者因公共设施和公益事业建设被占用的可以申请使用宅基地;原有住宅拆迁时已按规定进行补偿安置的除外;
4.市级以上人民政府规定的其他条件。
有下列情形之一的,申请宅基地不予批准:
1.申请人年龄未满18周岁的;
2.宅基地选址不符合村庄规划的;
3.占用永久基本农田的;
4.申请另址新建住房,未签订退出原有宅基地协议的;
5.申请位置在已查明的地质灾害隐患点、可能造成切坡建房的;
6.将原有住房出租、出卖、赠与、以其他形式转让或者改作生产经营用途的,且不符合另行申请条件;
7.原有宅基地面积已达到两户及两户以上宅基地面积标准,要求分户的;
8.其他不符合法律、法规政策规定的情形。
有下列情形之一的,农村居民不得改建、扩建原住宅:
1.已安排新宅基地的;
2.原住宅已被列入征地范围的;
3.原住宅不符合国土空间规划、总体规划和村庄规划的;
4.原住宅属文物保护单位或者历史文化名镇(村)保护规划确定保留的风貌建筑、市政府确定公布的历史建筑等;
5.法律、法规规定的其他情形。
二、申请材料
申请人提供:
1.农村宅基地和建房(规划许可)申请表、农村宅基地使用承诺书、申请人身份证、户口簿复印件;
2.征求建房相邻权利人意见。
村组提供:
1.组级集体经济组织成员(代表)会议记录复印件、会议照片,公示照片,原有宅基地或空闲地照片;
2.村级组织:农村宅基地和建房(规划许可)审查意见和会议记录复印件。
附件1-1

附件2
庐山市农村宅基地和建房(规划许可)申请表
|
申请户主信息 |
姓名 |
|
性别 |
|
年龄 |
岁 |
联系 电话 |
| |||||||||||||||
|
身 份 证号码 |
|
户 口 所在地 |
| ||||||||||||||||||||
|
家庭成员信息 |
姓名 |
年龄 |
与户主 关系 |
身份证号 |
户口所在地 | ||||||||||||||||||
|
|
|
|
|
| |||||||||||||||||||
|
|
|
|
|
| |||||||||||||||||||
|
|
|
|
|
| |||||||||||||||||||
|
|
|
|
|
| |||||||||||||||||||
|
现宅基地及农房情况 |
宅基地面积 |
m2 |
建筑面积 |
m2 |
权属证书号 |
| |||||||||||||||||
|
现宅基地处置 情况 |
1.保留(m2);2.退给村集体;3.其他( ) | ||||||||||||||||||||||
|
拟申请宅基地及建房(规划许可)情况 |
宅基地面积 |
|
房基占地____m2(其中主房____m2,附属房____m2,庭院____m2) | ||||||||||||||||||||
|
地址 |
| ||||||||||||||||||||||
|
土地所有权人 |
| ||||||||||||||||||||||
|
四至 |
东至: 南至: |
建房类型:1.原址翻建 2.改扩建 3.异址新建 | |||||||||||||||||||||
|
西至: 北至: | |||||||||||||||||||||||
|
地类 |
1.建设用地2.未利用地 3.农用地(耕地、林地、草地、其它) | ||||||||||||||||||||||
|
住房建筑 面积 |
m2 |
建筑层数 |
层 |
建筑高度 |
米 | ||||||||||||||||||
|
是否征求相邻权利人意见:1.是2.否 | |||||||||||||||||||||||
|
申请 理由 |
申请人: 年 月 日 | ||||||||||||||||||||||
|
组级集体经济组织意见 |
负责人: 年 月 日 | ||||||||||||||||||||||
|
村级组织意见 |
(盖章) 负责人: 年 月 日 | ||||||||||||||||||||||
附件3
农户用地建房征求相邻权利人意见书
拟新建、改扩建、原址翻建层住房,建房户经和东邻户、西邻户、南邻户、北邻户共同协商,对可能影响的通风、采光、出行等基本功能已征求相邻权利人意见(若涉及相关补偿事宜另签订补偿协议附后),同意规划房屋层,座朝向,按批准面积和规定进行建设。
申请建房户主签字:
相邻权利人签字:
时间: 年 月 日
附件4
庐山市农村宅基地使用承诺书
因(1.分户新建住房 2.按照规划迁址新建住房 3.原址改、扩、翻建住房 4.其他)需要,本人申请在乡(镇、中心)村组使用宅基地建房,现郑重承诺:
1.本人及家庭成员符合“一户一宅”申请条件,申请材料真实有效;
2.宅基地和建房申请经批准后,我将严格按照批复位置和面积动工建设,在批准后24个月内建成并使用;
3.新住房建设完成后,按照规定日内拆除旧房,并无偿退出原有宅基地。
如有隐瞒或未履行承诺,本人愿承担一切经济和法律责任。
承诺人:
年 月 日
附件5
庐山市农村宅基地和建房公示表
|
申请户主信息 |
姓名 |
|
性别 |
|
年龄 |
岁 | ||||||||||||||
|
户口所在地 |
| |||||||||||||||||||
|
家庭成员信息 |
姓名 |
年龄 |
与户主关系 |
户口所在地 | ||||||||||||||||
|
|
|
|
| |||||||||||||||||
|
|
|
|
| |||||||||||||||||
|
|
|
|
| |||||||||||||||||
|
|
|
|
| |||||||||||||||||
|
现宅基地及农房情况 |
宅基地面积 |
m2 |
建筑面积 |
m2 |
权属证书号 |
| ||||||||||||||
|
现宅基地 处置情况 |
1.保留(m2);2.退给村集体;3.其他( ) | |||||||||||||||||||
|
拟申请宅基地及建房(规划许可)情况 |
宅基地面积 |
|
房基占地____m2(其中住房面积____m2,附属房____m2,庭院____m2) | |||||||||||||||||
|
地址 |
| |||||||||||||||||||
|
四至 |
东至: 南至: |
建房类型:1.原址翻建 2.改扩建 3.异址新建 | ||||||||||||||||||
|
西至: 北至: | ||||||||||||||||||||
|
地类 |
1.建设用地2.未利用地 3.农用地(耕地、林地、草地、其它) | |||||||||||||||||||
|
住房建筑 面 积 |
m2 |
建筑层数 |
层 |
建筑高度 |
米 | |||||||||||||||
|
征求了意见的相邻权利人姓名: | ||||||||||||||||||||
|
公示时间 |
| |||||||||||||||||||
|
建房申请理由 |
| |||||||||||||||||||
|
监督电话 |
| |||||||||||||||||||
![]()
村村民小组(村民理事会)
附件6
庐山市农村宅基地和建房(规划许可)审批表
|
申请户主信息 |
姓名 |
性别 |
身份证号码 |
家庭住址 |
申请理由 | ||||||||||
|
|
|
|
|
| |||||||||||
|
拟批准宅基地及建房情况 |
宅基地面积 |
m2 |
地址 |
| |||||||||||
|
房基占地面积____m2,其中住房占地____m2,附属房____m2,庭院____m2 | |||||||||||||||
|
四至 |
东至: 南至: |
性质:1.原址翻建 2.改扩建 3.异址新建 | |||||||||||||
|
西至: 北至: | |||||||||||||||
|
地类 |
1.建设用地2.未利用地 3.农用地(耕地、林地、草地、其它) | ||||||||||||||
| |||||||||||||||
|
自然资源机构意见 |
(盖章) 负责人: 年 月 日 | ||||||||||||||
|
其他机构 意见 |
(盖章) 负责人: 年 月 日 | ||||||||||||||
|
农业农村机构意见 |
(盖章) 负责人: 年 月 日 | ||||||||||||||
|
乡(镇)政府审核批准意见 |
(盖章) 负责人: 年 月 日 | ||||||||||||||
|
宅基地坐落平面位置图 |
| ||||||||||||||
|
现场踏勘人员: 年 月 日 | |||||||||||||||
|
制图人: 年 月 日 | |||||||||||||||
|
备注 |
图中需载明宅基地的具体位置、长宽、四至,并标明与永久性参照物的具体距离。 | ||||||||||||||



|
宅基地坐落平面位置 图 |
|
|
备注 |
图中需载明宅基地的具体位置、长宽、四至,并标明与永久性参照物的具体距离。 |
|
填写说明:
| |
附件10
庐山市农村宅基地和建房(规划许可)
验收意见表
|
申请户主 |
|
身份证号码 |
| ||||||
|
乡村建设规划 许可证号 |
| ||||||||
|
农村宅基地批准 书号 |
| ||||||||
|
开工日期 |
|
竣工日期 |
| ||||||
|
批准宅基地面积 |
m2 |
实用宅基地面积 |
m2 | ||||||
|
批准房基占地面积m2(其中主房m2,附属房m2,庭院m2) |
实际房基占地面积㎡(其中主房㎡,附属房㎡,庭院㎡) | ||||||||
|
批建层数/高度 |
层/米 |
竣工层数/高度 |
层/米 | ||||||
|
拆旧退还宅基地情况 |
1.不属于2.属于,已落实3.属于,尚未落实 | ||||||||
|
竣工平面简图(标注长宽及四至) |
经办人: | ||||||||
|
验收单位意见 |
农业农村机构 意见: (盖章) 经办人: 年 月 日 |
自然资源机构 意见: (盖章) 经办人: 年 月 日 |
住建机构意见: (盖章) 经办人: 年 月 日 | ||||||
|
乡(镇)政府验收意见 |
(盖章) 负责人: 年 月 日 | ||||||||
|
备 注 |
| ||||||||
庐山市人民政府办公室 2023年8月24日印发
![]()
22
相关附件:
扫一扫在手机打开当前页